Khả năng sinh sản của người phụ nữ giảm theo tuổi sinh học. Nghiên cứu đánh giá trực tiếp về dự trữ buồng trứng và sự phát triển nang noãn ở phụ nữ vẫn rất khó thực hiện. Những hiểu biết hiện tại về tiến trình thay đổi khả năng sinh sản của người phụ nữ chủ yếu dựa vào các nghiên cứu dịch tễ, nội tiết và giải phẫu bệnh. Theo một số mô hình toán học của động học nang noãn, nang noãn giảm theo hàm số mũ và có 2 pha, và tốc độ suy giảm nang noãn cao hơn ở pha sau 37.5 tuổi (Faddy MJ et al, 1992). Phẫu thuật trên buồng trứng cũng là một trong các nguyên nhân làm tăng tốc độ giảm dự trữ buồng trứng. Trước đây đã có nhiều nghiên cứu quan sát mối liên hệ giữa kích thước u lạc nội mạc tử cung buồng trứng và độ tuổi mãn kinh trên những bệnh nhân từng phẫu thuật u lạc nội mạc tử cung buồng trứng 2 bên. Mặt khác, u lạc nội mạc tử cung buồng trứng tự nó có thể làm giảm dự trữ buồng trứng. Trong một nghiên cứu trước đây, người ta cũng quan sát thấy rằng u lạc nội mạc tử cung buồng trứng làm mãn kinh sớm hơn bình thường (Coccia ME et al, 2011). Mô vỏ của bên buồng trứng bị u lạc nội mạc tử cung có sự xơ hóa và giảm mô đệm trong 55% trường hợp, ngược lại, ở bên buồng trứng lành thì không quan sát thấy trường hợp nào bị như vậy (Kitajima M et al, 2011).
Maria Elisabetta Coccia và cộng sự đã tiến hành nghiên cứu ảnh hưởng của phẫu thuật bóc u lạc nội mạc tử cung buồng trứng 2 bên lên dự trữ buồng trứng. Mục đích của nghiên cứu này là để (1) xác định đặc điểm giảm dự trữ buồng trứng theo tuổi trên phụ nữ bị lạc nội mạc tử cung buồng trứng, (2) phân tích rằng liệu phẫu thuật lạc nội mạc tử cung buồng trứng 1 bên hoặc 2 bên có tạo ra một mô hình hiệu chỉnh về suy giảm dự trữ buồng trứng theo tuổi hay không?
Số liệu được thu thập từ Trung tâm hỗ trợ sinh sản thuộc bệnh viện Đại học Careggi, thuộc đại học Florence.
- Đối tượng nghiên cứu gồm những bệnh nhân có u lạc nội mạc tử cung buồng trứng 1 hoặc 2 bên chưa phẫu thuật (108 chu kỳ).
- Nhóm chứng 1: gồm những bệnh nhân từng phẫu thuật u lạc nội mạc tử cung buồng trứng 1 bên (101 chu kỳ).
- Nhóm chứng 2: phẫu thuật u lạc nội mạc tử cung buồng trứng 2 bên (39 chu kỳ).
- Nhóm chứng 3: vô sinh do nguyên nhân vòi trứng (171 chu kỳ).
Những bệnh nhân này được đánh giá tình trạng vô sinh qua những xét nghiệm cơ bản. Những phụ nữ đang sử dụng thuốc nội tiết được ngưng dùng nội tiết ngoại sinh trong vòng 4 tuần trước khi được xét nghiệm nội tiết.
Kích thích buồng trứng được thực hiện với phác đồ down-regulation. Những trứng thu được được IVF hoặc ICSI và các phôi tạo thành được nuôi lên ngày 3 hoặc ngày 5. Thai lâm sàng được định nghĩa là có ít nhất 1 túi thai trong lòng tử cung có phôi thai và có tim thai.
.png)
Những bệnh nhân vô sinh do nguyên nhân vòi trứng trẻ hơn những bệnh nhân bị u lạc nội mạc tử cung buồng trứng đã hay chưa từng phẫu thuật. FSH nền của những bệnh nhân vô sinh nguyên nhân vòi trứng cũng thấp hơn hẳn so với các nhóm khác.
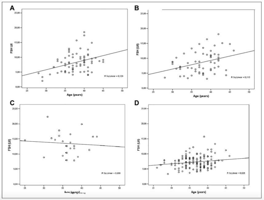
Có mối liên quan mạnh giữa tuổi và FSH nền trên những bệnh nhân chưa từng phẫu thuật bóc u lạc nội mạc tử cung buồng trứng. Không có mối liên quan giữa tuổi và FSH nền trên những bệnh nhân đã phẫu thuật bóc u lạc nội mạc tử cung buồng trứng 2 bên. Điều thú vị là, người ta lại quan sát thấy đường hồi quy nghịch của FSH nền so với tuổi trên những bệnh nhân đã phẫu thuật bóc u lạc nội mạc tử cung buồng trứng 2 bên.

- Bệnh nhân chưa từng phẫu thuật bóc u lạc nội mạc tử cung
- Bệnh nhân từng phẫu thuật bóc u lạc nội mạc tử cung 1 bên buồng trứng
- Bệnh nhân từng phẫu thuật bóc u lạc nội mạc tử cung 2 bên buồng trứng
- Bệnh nhân vô sinh do nguyên nhân vòi trứng
Mặc dù bệnh nhân đã từng phẫu thuật bóc u lạc nội mạc tử cung 2 bên trẻ hơn so với những nhóm khác, nhưng họ lại cần thời gian kích thích dài hơn với liều gonadotropin cao hơn. Những bệnh nhân vô sinh do nguyên nhân vòi trứng có kết quả tốt hơn về số lượng nang 15mm vào ngày hCG và số trứng chọc hút được. Tỷ lệ có thai cũng cao hơn ở nhóm vô sinh do nguyên nhân vòi trứng (tỷ lệ thai lâm sàng trên số chu kỳ điều trị và trên số chu kỳ chuyển phôi lần lượt là 34,6% và 38,6%). Kết quả thấp nhất là ở nhóm bệnh nhân phẫu thuật bóc u lạc nội mạc tử cung buồng trứng 2 bên (tỷ lệ thai lâm sàng trên số chu kỳ điều trị và trên số chu kỳ chuyển phôi: lần lượt là 10% và 15,4%).
Trên những bệnh nhân chưa từng phẫu thuật bóc u lạc nội mạc tử cung buồng trứng thì số lượng nang noãn vượt trội và tuổi có mối liên quan mật thiết với nhau. Mối liên hệ này cũng có ở những bệnh nhân phẫu thuật u lạc nội mạc tử cung buồng trứng 1 bên và bệnh nhân vô sinh nguyên nhân vòi trứng. Tuy nhiên, số lượng nang vượt trội lại thấp hơn không liên quan đến tuổi ở những bệnh nhân đã từng phẫu thuật bóc u lạc nội mạc tử cung buồng trứng 2 bên. Kết quả cũng tương tự với số trứng chọc hút được.
Phân tích chọn lọc FSH nền trên những bệnh nhân u lạc nội mạc tử cung buồng trứng không có tiền căn phẫu thuật buồng trứng cho thấy rằng sự giảm dự trữ buồng trứng theo tuổi có mô hình tương tự như những bệnh nhân vô sinh nguyên nhân vòi trứng và bệnh nhân phẫu thuật u lạc nội mạc tử cung 1 bên. Trong 3 nhóm trên thì mối liên hệ giữa tuổi và FSH nền là rất rõ ràng. Tuy nhiên mối liên hệ này không có ở nhóm bệnh nhân đã phẫu thuật bóc u lạc nội mạc tử cung buồng trứng 2 bên. Những bệnh nhân này có mô hình giảm dự trữ buồng trứng khác hơn, không phụ thuộc vào tuổi. Cho nên, ảnh hưởng của tuổi là ít hơn so với ảnh hưởng từ phẫu thuật trên những bệnh nhân có tiền căn bóc u lạc nội mạc tử cung 2 bên. Trên những bệnh nhân chưa từng phẫu thuật bóc u lạc nội mạc tử cung hoặc chỉ phẫu thuật bóc u lạc nội mạc tử cung buồng trứng 1 bên thì mô lành buồng trứng còn lại có tốc độ lão hóa tương tự như những buồng trứng bình thường. Tuy nhiên, nếu cả 2 buồng trứng đều đã được phẫu thuật bóc u lạc nội mạc tử cung buồng trứng thì tốc độ giảm dự trữ buồng trứng có vẻ như không còn phụ thuộc vào tuổi. Mô hình suy giảm dự trữ buồng trứng sau phẫu thuật bóc u buồng trứng 2 bên có vẻ như chậm hơn bình thường, có lẽ là do cơ chế bù trừ do những yếu tố nội tại buồng trứng. Cần thêm nghiên cứu để xác định kết quả của nhóm nghiên cứu về dự trữ buồng trứng trên những bệnh nhân bóc u lạc nội mạc tử cung. Cần phải làm rõ hơn rằng liệu số nang dự trữ buồng trứng có mối liên hệ ở cả 2 buồng trứng với tín hiệu giữa cả 2 buồng trứng hay là 2 buồng trứng hoàn toàn độc lập với nhau.
Nguồn: Maria Elisabetta Coccia. Bilateral Endometrioma Excision: Surgery-Related Damage to Ovarian Reserve, Reproductive Science, May 30th, 2018.