TS. BS. Võ Minh Tuấn, BS. Nguyễn Thị Minh Trang
Bộ môn Sản Đại học Y Dược TPHCM
TÓM TẮT
Đặt vấn đề và mục tiêu
Ước lượng trọng lượng thai một cách chính xác luôn là mục tiêu mong muốn của nhà thực hành sản khoa vì việc theo dõi và chọn lựa phương thức sanh thích hợp lệ thuộc phần lớn vào mức độ chính xác của trọng lượng thai. Mục tiêu nhằm xây dựng phương trình ước lượng trọng lượng thai tốt.
Đối tượng và phương pháp nghiên cứu
Nghiên cứu cắt ngang từ 3/2009 & 8/2009 ở 472 sản phụ thai đủ tháng, tới sanh tại bệnh viện Nhân Dân Gia Định, được chọn ngẫu nhiên. Chúng tôi thu thập tất cả chỉ số siêu âm trước sanh 24 giờ và các dấu hiệu lâm sàng, sau đó sử dụng phương trình hồi qui tuyến tính để xây dựng phương trình ước lượng trọng lượng thai.
Kết quả và kết luận
Công thức Mc Donald được dùng thường xuyên trên lâm sàng thực tế có sai số rất lớn. Chúng tôi xây dựng được 2 phương trình hồi qui có hệ số chính xác (R2) cao: Phương trình (1) chỉ có 1 biến số độc lập dự đoán trọng lượng thai là CVB là Y = 22,55CVB – 4142,25, phương trình này đơn giản, độ tin cậy khá cao, dễ sử dụng. Phương trình (2) là:
Y = 21,05BCTC + 21,1CVB – 4339,1 là phương trình có hệ số tương quan cao nhất, tuy phải sử dụng 2 biến số bao gồm cả lâm sàng và siêu âm.
Từ khóa
Trọng lượng thai, phương trình hồi qui tuyến tính.
ĐẶT VẤN ĐỀ
Cân nặng trẻ lúc sanh không chỉ là một trong những đánh giá quan trọng về mặt sức khỏe và tình trạng dinh dưỡng của bà mẹ mà còn đối với sự sống còn, tăng trưởng, phát triển thể chất, tinh thần và xã hội và của trẻ em [1].
Ước lượng trọng lượng thai một cách chính xác luôn là mục tiêu mong muốn đạt được của các thế hệ những nhà thực hành sản khoa vì việc theo dõi và chọn lựa phương thức sanh thích hợp lệ thuộc phần lớn vào mức độ chính xác của trọng lượng thai. Trong lịch sử thực hành sản khoa, đã có rất nhiều phương pháp lâm sàng cũng như cận lâm sàng được đề xuất nhằm ước lượng trọng lượng thai càng gần với trị số thật càng tốt. Từ các phương pháp lâm sàng cổ điển được sử dụng phổ biến như đo bề cao tử cung, ước lượng trọng lượng thai từ tuổi thai, tương quan giữa chiều cao và trọng lượng thai cho đến những phương pháp phức tạp như đo lường động năng của thai nhi khi va chạm trong tử cung đều cho thấy những sai số cũng như những khó khăn về kỹ thuật khi thực hiện.
Kể từ khi Donald và cộng sự lần đầu ứng dụng hình ảnh học siêu âm vào thực hành sản khoa vào năm 1958, việc chẩn đoán tiền sản và đánh giá thai trong tử cung bắt đầu phát triển mạnh mẽ và rộng khắp [2]. Sử dụng siêu âm được xem như biện pháp hỗ trợ đắc lực để ước lượng trọng lượng thai nhi. Nhiều nghiên cứu được thực hiện nhằm tìm ra các công thức lý tưởng dùng cho việc chẩn đoán trọng lượng thai trước sanh. Hầu hết các khảo sát này đều thực hiện xa cuộc sanh. Trong tam cá nguyệt cuối của thai kỳ, các kích thước của thai còn thay đổi nhiều, thường gia tăng trong vòng 14 đến 21 ngày. Vì vậy, trọng lượng ước đoán từ những số liệu thu thập được gần cuộc sanh nhất mới có thể phản ánh trung thực nhất trọng lượng thai ở thời điểm chuyển dạ. Điều này hợp lý và đặc biệt quan trọng cho những thai nghi ngờ có bất xứng đầu chậu, thai to đồng thời loại bỏ những ảnh hưởng làm sai lệch kết quả ước đoán trọng lượng thai. Bên cạnh đó, đa số các khảo sát trước đây chỉ tìm mối tương quan đơn thuần hoặc giữa phương pháp lâm sàng với trọng lượng thai hoặc giữa phương pháp cận lâm sàng với trọng lượng thai, chưa kết hợp các phương pháp này lại với nhau để tìm ra một công thức ước lượng trọng lượng thai tốt nhất, mang tính ứng dụng cao.
MỤC TIÊU NGHIÊN CỨU
Mục tiêu chính
-
Đánh giá giá trị của các chỉ số siêu âm thai và chỉ số lâm sàng sử dụng trong ước lượng trọng lượng thai đủ tháng.
-
Xây dựng phương trình hồi quy tuyến tính và biểu đồ ước lượng trọng lượng thai đủ tháng.
Mục tiêu phụ
So sánh công thức ước lượng trọng lượng thai thành lập được với các công thức thường sử dụng trên lâm sàng và siêu âm.
ĐỐI TƯỢNG VÀ PHƯƠNG PHÁP NGHIÊN CỨU
Thiết kế nghiên cứu: Nghiên cứu cắt ngang
Đối tượng nghiên cứu
-
Dân số mục tiêu: Phụ nữ có thai đủ tháng bình thường sống tại TPHCM.
-
Dân số nghiên cứu: Phụ nữ có thai đủ tháng bình thường đến khám và nhập viện sanh tại bệnh viện Gia Định trong thời gian tiến hành nghiên cứu.
-
Dân số chọn mẫu: Các sản phụ nhập viện sanh tại bệnh viện Gia Định trong thời gian nghiên cứu từ 3/2009-8/2009 đồng ý tham gia nghiên cứu.
-
Tiêu chuẩn nhận vào:
o Đơn thai, tuổi thai từ 37 tuần trở lên.
o Có siêu âm ước lượng tuổi thai 3 tháng đầu thai kỳ.
o Có siêu âm thai với đầy đủ các chỉ số trong vòng 48 giờ trước sanh.
o Thai ngôi đầu.
o Chấp nhận tham gia nghiên cứu.
-
Tiêu chuẩn loại trừ:
o Thai kỳ kèm theo bệnh lý nội khoa, tiền sản giật.
o Thai có cân nặng dưới bách phân vị thứ 10 so với tuổi thai.
o Thai dị dạng.
o Chuyển dạ giai đoạn hoạt động hay ối đã vỡ.
o Đa ối, thiểu ối.
Cỡ mẫu
Cỡ mẫu được tính dựa vào công thức tính cỡ mẫu để tìm hệ số tương quan.
Trường hợp chỉ có một biến số phụ thuộc và biến số độc lập:
Gọi hệ số tương quan giữa 2 biến là p:
Cỡ mẫu được tính như sau:

Trong thực tế, chúng ta không biết p, nhưng có thể ước tính qua hệ số tương quan quan sát được là r, còn gọi là hệ số Pearson.
Bảng 1. Số mẫu cần thiết để ước tính hệ số tương quan.
|
Hệ số tương quan |
Số cỡ mẫu cần thiết cho power = 0.80 và |
|
|
= 0.01 |
= 0.05 |
|
|
0.05 |
4527 |
3138 |
|
0.10 |
1128 |
783 |
|
0.15 |
499 |
347 |
|
0.20 |
279 |
194 |
|
0.25 |
177 |
123 |
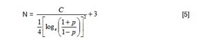
Chọn hệ số tương quan là 0.15,= 0.05, power = 0.80, hằng số C = 7,85, số cỡ mẫu tính được là N = 347.
Trường hợp nghiên cứu có một biến số phụ thuộc và nhiều biến số độc lập:
Với power = 0.80 và = 0.05, m biến số độc lập và 1 biến phụ thuộc, số lượng cỡ mẫu cần thiết tối thiểu là N > 104 + m. [6]
Với m = 10, số cỡ mẫu tính được là N > 114.
Chúng tôi chọn N = 347 là số cỡ mẫu lớn hơn để ước tính được hệ số tương quan với độ chính xác cao.
Phương pháp chọn mẫu
Công cụ thu thập số liệu
-
Bảng thu thập số liệu: Bảng thu thập số liệu được soạn kỹ, văn phong đơn giản, tập trung vào các biến số cần khảo sát và đã được thử nghiệm trước khi đưa vào nghiên cứu (n=30).
-
Dụng cụ đo cân nặng và chiều cao sản phụ.
-
Thước dây.
-
Máy siêu âm hai chiều: ALOKA SSD1100, sản xuất tại Nhật Bản, được sử dụng tại bệnh viện từ năm 1997.
Qui trình lấy mẫu
Chúng tôi lựa chọn ngẫu nhiên sản phụ thoả tiêu chuẩn chọn mẫu trong thời gian nghiên cứu. Họ sẽ được khám và lập bệnh án theo đúng quy trình nhận bệnh tại phòng sanh, thu thập các dữ kiện theo bảng thu thập số liệu.
Cân nặng: được đo bằng cân đo trọng lượng chuẩn tại phòng sanh. Cân nặng trước sanh được xác định bằng cách ghi nhận cân nặng đo được trong 3 tháng đầu thai kỳ.
Chiều cao, vòng bụng, bề cao tử cung: được đo bằng thước đo chiều cao chuẩn tại phòng sanh.
Bệnh lý nội khoa kèm: Được xác định qua bệnh sử hoặc khám lâm sàng tại thời điểm nhập viện.
Thông tin về siêu âm: Qui trình siêu âm đo đạc các chỉ số như đường kính lưỡng đỉnh, đường kính ngang bụng, đường kính trước sau bụng, chu vi bụng, chiều dài xương đùi được thực hiện trên máy siêu âm ALOKA SSD1100 tại phòng sanh.
Các sản phụ tham gia vào nghiên cứu được giải thích về mục đích siêu âm trước khi người làm nghiên cứu thực hiện các thao tác siêu âm.
Các số đo của thai được đo đạc khi màn hình ở chế độ đứng yên. Đường kính lưỡng đỉnh, đường kính ngang bụng, đường kính trước sau bụng, chu vi bụng, chiều dài xương đùi được đo bằng đơn vị mm, trọng lượng thai nhi ước lượng được đo bằng đơn vị g.
Việc ước lượng trọng lượng thai trên máy siêu âm được thực hiện bằng cách sử dụng công thức Hadlock [4] và Shepard [3] với các chỉ số khác nhau như đường kính lưỡng đỉnh, chu vi bụng, chiều dài xương đùi.
Mức độ thống nhất kết quả siêu âm giữa người thực hiện nghiên cứu và 1 bác sĩ siêu âm sản tại BV được thể hiện qua chỉ số Kappa. Kết quả được gọi là thống nhất giữa 2 người đo khi:
-
Chiều dài xương đùi: sai lệch không quá 2 mm
-
Đường kính lưỡng đỉnh: sai lệch không quá 2 mm
-
Đường kính ngang bụng: sai lệch không quá 3 mm
-
Đường kính trước sau bụng: sai lệch không qua 3 mm
Kết quả về mức độ thống nhất kết quả siêu âm như sau:
Kappa (ĐKLĐ) = 1
Kappa (CDXĐ) = 0,98
Kappa (ĐKNB) = 0,97
Kappa (ĐKTSB) = 0,97
Sản phụ được theo dõi đến khi sanh. Ngay sau sanh, trẻ sơ sinh được làm rốn và cân bởi một cân đúng tiêu chuẩn tại phòng sanh bệnh viện. Các bước lấy mẫu và thu thập thông tin được thực hiện đồng thời, không gây cản trở và ảnh hưởng lên qui trình khám, nhận và theo dõi bệnh tại phòng sanh.
Bảng thu thập số liệu sẽ được kiểm tra về mức độ hoàn tất và mức độ chính xác. Nếu không đầy đủ chúng tôi sẽ kiểm tra lại theo bệnh án và bổ sung. Nếu trong hồ sơ nghiên cứu thiếu những chi tiết (biến số) quan trọng, hồ sơ đó sẽ bị loại ra khỏi lô nghiên cứu.
KẾT QUẢ và BÀN LUẬN
Thời gian nghiên cứu kéo dài khoảng 5 tháng, từ tháng 3 năm 2009 đến tháng 8 năm 2009, tại khoa sanh bệnh viện nhân dân Gia Định. Trong thời gian này, có 5317 s