CNSH. Trần Nhật Ánh Dương – Bệnh viện Mỹ Đức
 
Giới thiệu
Kể từ báo cáo đầu tiên về trường hợp trẻ ra đời sau khi chuyển phôi đông lạnh (frozen‐thawed embryo transfer - FET) vào năm 1983, đông lạnh phôi đã được sử dụng rộng rãi và trở thành một kỹ thuật không thể thiếu tại các trung tâm hỗ trợ sinh sản. Số chu kỳ chuyển phôi đông lạnh ngày càng gia tăng trên toàn thế giới. Tuy nhiên, ngày càng nảy sinh nhiều mối lo ngại về  sự an toàn của việc đông lạnh phôi bằng phương pháp thuỷ tinh hoá cùng với thời gian lưu trữ kéo dài. Một số nghiên cứu gần đây đã chứng minh rằng việc lưu trữ trong thời gian dài không có ảnh hưởng đáng kể đến tỷ lệ sống sau rã của phôi, tỷ lệ mang thai, tỷ lệ làm tổ, tỷ lệ dị tật bẩm sinh và tỷ lệ sinh sống. Tuy nhiên cũng có những nghiên cứu đưa ra kết luận ngược lại rằng việc đông lạnh phôi kéo dài có ảnh hưởng tiêu cực đến kết quả mang thai. Do đó, hiện vẫn chưa có kết luận rõ ràng về tính an toàn của đông lạnh phôi trong thời gian dài và hiện chỉ có dữ liệu hạn chế về sự thay đổi phân tử của phôi người bị ảnh hưởng bởi thời gian trữ đông kéo dài. Do đó, mục tiêu của nghiên cứu này nhằm đánh giá ảnh hưởng của thời gian lưu trữ lên đặc điểm methyl hóa DNA của phôi người được đông lạnh bằng phương pháp thuỷ tinh hoá.
 
Thiết kế nghiên cứu
Tham gia nghiên cứu gồm 9 người phụ nữ từ 23-35 tuổi thực hiện điều trị IVF và hiến tặng 1 phôi giai đoạn ngày 3 (8 tế bào) cho nghiên cứu. Phôi từ người hiến tặng được chia thành 3 nhóm: phôi tươi, phôi trữ lạnh 3 năm và phôi trữ lạnh 8 năm. Quy trình trữ rã phôi được thực hiện theo phương pháp Cryotech được phát triển bởi Dr. Kitazato. Tiến hành phân tích và so sánh mức độ methyl hoá DNA của phôi bằng cách giải trình tự bisulfite toàn bộ bộ gen đơn bào (Single‐cell whole genome bisulfite sequencing - scWGBS) ở cả 3 nhóm.
 
Kết quả
  • Quá trình methyl hoá trên toàn bộ bộ gen: Có ba loại cytosine trong trình tự bộ gen tham chiếu (CHH, CHG, CpG), kết quả giải trình tự bisulfite bộ gen cho thấy tỷ lệ bị methyl hóa của ba nhóm là tương tự nhau. Tỷ lệ methyl hoá Cytosine ở phôi tươi gồm 53,61% CHH - 34,90% CpG - 11,83% CHG so với 51,47% CHH - 36,73% CpG - 11,69% CHG ở phôi 3 năm và 52,75%CHH - 35,15%CpG - 11,99%CHG ở phôi 8 năm (hình 1).

                                                                                    Hình 1: mức độ methyl hoá cytosine ở 3 nhóm
 
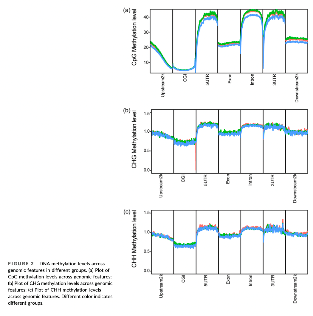
  • Quá trình methyl hóa DNA ở các vùng gen khác nhau: Mức độ methyl hóa CpG trong các vùng chức năng ở 3 nhóm cho thấy kết quả tương tự (Hình 2a). Hơn nữa, mức độ methyl hóa ở các vùng 5′ UTR, Intron và 3′ UTR cao hơn đáng kể so với các vùng khác. Mức độ methyl hóa CHH và CHG cũng không có sự khác biệt đáng kể và duy trì mức độ methyl hóa thấp, dưới 1,5% ở cả ba nhóm (Hình 2b, c).

                                                                                Hình 2: Mức độ methyl hoá DNA ở các vùng gen khác nhau
  • Quá trình methyl hóa DNA ở các vùng gen in dấu và các yếu tố có thể thay thế:  Không có DMR (differentially methylated regions - vùng bị methyl hóa khác biệt) nào cho thấy có sự khác biệt đáng kể về quá trình methyl hóa giữa nhóm 3 và 8 năm, nhưng đã quan sát thấy một số khác biệt giữa nhóm tươi và nhóm đông lạnh, chẳng hạn như gen Diras3. Ngoài ra, không ghi nhận được sự khác biệt đáng kể về biểu hiện gen ở các gen in dấu.
  • DMR giữa phôi tươi và phôi đông lạnh: Tiến hành so sánh DMR giữa phôi tươi và phôi đông lạnh đã xác định được 587 DMR trong nhóm 3 năm và 540 DMR trong nhóm 8 năm so với nhóm phôi tươi và sự phân bố các DMR trên toàn bộ bộ gen ở nhóm 3 năm và 8 năm là tương tự nhau. Vì trạng thái methyl hóa ở vùng khởi động có thể liên quan đến việc điều hòa biểu hiện gen, nhóm tác giả đã khảo sát sự phân bố bộ gen của DMR và nhận thấy rằng cả DMR ở nhóm 3 năm và nhóm 8 năm đều không được làm giàu ở vùng khởi động.
 
Kết luận
Nghiên cứu đã cung cấp bằng chứng cho thấy việc bảo quản lạnh trong thời gian lâu dài không ảnh hưởng đến đặc tính methyl hóa DNA của phôi 8 tế bào ở cấp độ đơn bào. Tuy nhiên hạn chế của nghiên cứu là cỡ mẫu còn nhỏ, vì vậy trong tương lai cần thêm các nghiên cứu tiến cứu với cỡ mẫu lớn hơn để đánh giá tác động của việc bảo quản lạnh lâu dài đối với quá trình methyl hóa DNA của phôi người. Ngoài ra, cần phải phân tích theo dõi lâu dài trên phôi nang với cỡ mẫu lớn để thu được kết quả toàn diện hơn và đánh giá tính an toàn của những thay đổi thượng di truyền do quá trình thủy tinh hóa gây ra.

 Nguồn: Zhu, L., Sun, L., Liu, W., Han, W., Huang, G., & Li, J. (2023). Long‐term storage does not affect the DNA methylation profiles of vitrified‐warmed human embryos. Molecular Reproduction and Development.